成都生物所尹华军团队在根际土壤微生物与土壤多功能性研究中取得进展
来源:生态环境修复中心
作者:高趁光
时间:2025-11-21
根际是受植物根系显著调控的微域环境,也是土壤微生物聚集及其功能表达的关键区域。近年来,土壤微生物多样性与生态系统多功能性之间的关联已成为地下生态学研究的重要议题。然而,现有研究多聚焦于非根际土壤,对根际与非根际土壤在多功能性方面的系统比较仍较为缺乏。此外,微生物群落是否以及如何在根际与非根际中驱动土壤多功能性,其具体机制尚不明确。上述局限制约了我们对生态系统功能整体格局及其调控机制的深入理解。
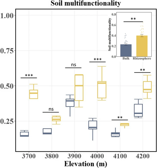
本研究以青藏高原东部高寒森林中的冷杉林为研究对象,系统采集了根际与非根际土壤样品,结合多组学技术与生物信息学分析,综合评价了土壤养分有效性、酶活性及微生物多样性等关键指标。主要结果如下:1)根际土壤的生态系统多功能性显著高于非根际土壤,且该差异在不同海拔梯度下均保持稳定,表明根际在维持土壤多功能性方面具有重要作用(图1);2)土壤微生物对多功能性的影响具有生境特异性:细菌多样性在根际土壤中对多功能性起主导作用,而真菌多样性则与非根际土壤的多功能性更为相关(图2、图3);3)微生物生物量(尤其是真菌生物量)对根际和非根际土壤多功能性均具有显著正向调控作用(图4)。本研究从根际视角出发,将根际过程整合至“生物多样性—生态系统功能”理论框架中,系统揭示了根际与非根际土壤多功能性形成机制的差异,为高寒森林生态系统的保护与恢复提供了理论依据。
上述研究结果于2025年11月19日以“Distinct roles of bacteria and fungi in driving rhizosphere and bulk soil multifunctionality of Abies georgei in an alpine forest”为题发表于植物学TOP期刊BMC Plant Biology上。中国科学院成都生物研究所副研究员高趁光为论文第一作者,尹华军研究员为通讯作者。本研究得到了国家自然科学基金、西藏自治区科技计划项目、四川省自然科学基金的联合资助。
原文链接: https://bmcplantbiol.biomedcentral.com/articles/10.1186/s12870-025-07637-w#Abs1

图1:根际、非根际土壤多功能性沿海拔变化差异

图2:根际、非根际土壤微生物多样性、共现网络复杂度及生物量与土壤多功能性的关系

图3:土壤微生物与环境因子对根际、非根际土壤多功能性的影响

图4:根际、非根际土壤多功能性调控机制