成都生物所在森林树种氮吸收方面获得进展
作者:罗林
时间:2024-03-06
氮素对植物生长发育至关重要。植物主要吸收土壤中的无机氮,即铵态氮和硝态氮,并受生物与非生物环境的影响。植物对不同形态无机氮的吸收偏好以及吸收偏好的时空分异体现出植物对环境的适应性。围绕森林树种的氮吸收,地表过程与生态系统管理项目组尹春英研究团队开展了系列研究工作。
不同程度的干旱和氮沉降如何影响森林树种氮吸收偏好和分配仍然存在争议。基于此,博士生罗林,以青藏高原东缘广泛分布的青杨(Populus cathayana)的扦插苗为研究对象,结合15N同位素示踪技术,设置了不同水分梯度(水分良好/轻度干旱/重度干旱:80/60/40%田间持水量)和施氮梯度(N0/N4/N8:0/4/8 g N m-2 yr-1),并于施氮后不同时间分别取样,探究了青杨对不同形态无机氮的吸收偏好和分配对水氮有效性的动态响应。研究表明:1)干旱增加了氮素向青杨叶片的分配,而氮添加减少了氮素向叶片的分配;2)水分良好和轻度干旱处理下,青杨对铵态氮和硝态氮的吸收偏好随取样时间动态变化,重度干旱时,青杨偏好吸收铵态氮;3)硝态氮吸收与根系形态和根系生理指标呈正相关关系,重度干旱抑制了根系形态和生理,这导致了硝态氮吸收减少,因此在重度干旱条件下,青杨表现出对铵态氮的吸收偏好。本研究揭示了青杨氮素吸收偏好和分配对水氮有效性的动态响应,可为探究植物如何适应干旱胁迫提供理论依据。上述研究结果以“Nitrogen uptake preference and allocation in Populus cathayana in response to drought stress”为题发表在《Environmental and Experimental Botany》。罗林为论文第一作者,尹春英研究员为论文通讯作者。
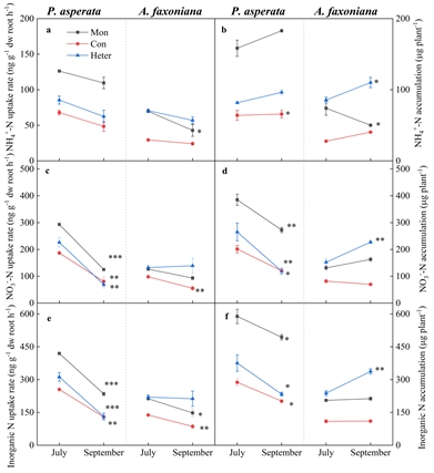
树种共存是森林生态系统的基础,共存条件下植物-植物相互作用会如何影响树种的氮吸收?针对这一科学问题,博士生谢路路和胡雪凤(均已毕业),以川西亚高山针叶林主要优势树种粗枝云杉(Picea asperata)和岷江冷杉(Abies faxoniana)为研究对象,设置了单独种植、同种共存和异种共存三种种植模式,结合15N同位素标记技术,分别探究了生长季中期和晚期不同种植模式对植物生长、无机氮吸收和分配的影响,并从根系属性和土壤性质角度阐明了潜在的机制。研究表明:1)种内互作降低了植物生物量和无机氮吸收速率,表现出强烈的种内竞争,云杉的种内竞争大于冷杉;相反,种间互作对冷杉有显著的促进作用,尤其是在生长季晚期;2)异种共存模式下,从生长季中期到晚期,云杉对无机氮的吸收速率减小,而冷杉增加,这与根系特征和土壤氮有效性的变化有关;3)云杉和冷杉都表现出对硝态氮的吸收偏好,在异种共存模式下,冷杉中分配到地上部分的氮高于云杉。本研究揭示了植物种内和种间相互作用对植物氮吸收季节性变化的影响,研究结果有助于加深对森林生态系统中物种共存和生物多样性维持的理解。上述研究结果以“Plant–plant interactions affect seasonal nitrogen uptake of subalpine conifer seedlings by altering root traits and soil nitrogen availabilities”为题发表在《Physiologia Plantarum》。谢路路和胡雪凤为论文共同第一作者,尹春英研究员为论文通讯作者。以上研究得到了国家自然科学基金、四川省科技计划和中国科学院战略性先导科技专项的联合资助。
原文链接1
原文链接2
图1.不同水分和氮添加处理下青杨 15N
图2.不同形态氮吸收与根系特征的关系
图3.无机氮吸收和积累
图4.土壤氮素有效性和根系性状对不同树种无机氮吸收的影响



