一品楼黑龙江论坛,全国小红楼论坛网,一品楼信息,凤凰楼品凤楼论坛qm

成都生物所在黑枸杞果实中发现新型具抗帕金森病潜力的化合物
时间:2023-10-17

 帕金森病是一种常见的神经退行性疾病,其主要病理改变包括多巴胺能神经元的凋亡和纹状体中多巴胺水平的下降。单胺氧化酶BMAO-B)催化多巴胺氧化,其异常高表达或高活性会导致过氧化物的产生和多巴胺的缺乏,从而诱发帕金森病。PTEN诱导激酶1PINK1)是一种参与线粒体自噬的蛋白激酶,其突变会导致线粒体功能障碍和神经元死亡,是早发型帕金森病的遗传因素之一。因此,MAO-BPINK1被认为是帕金森病的重要治疗靶点。黑枸杞是我国著名的药食两用植物,其果实具有多种生物活性,包括抗氧化、抗衰老、抗疲劳和神经保护等。黑枸杞中的多糖和花青素已被证明具有神经保护作用,但其小分子化合物的作用机制尚不清楚。 

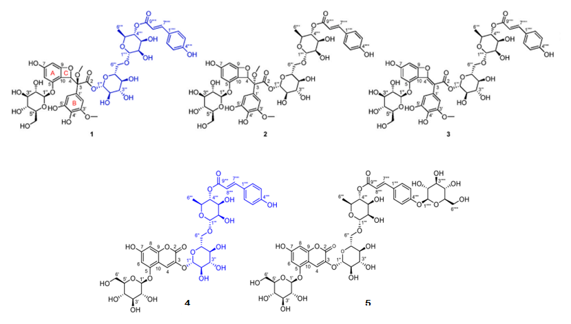
 中国科学院成都生物研究所科研人员从黑枸杞果实中分离得到十六个新的多酚苷类化合物,其中有三个(1-3)具有较为罕见的四元环结构。化合物1-5具有显著的MAO-B抑制作用,并对6-OHDA诱导的PC12细胞显示出与阳性药物雷沙吉兰相当的保护作用;化合物1对帕金森病果蝇模型PINK1B9表现出显著的保护效果。该研究探讨了黑枸杞果实中小分子化合物的神经保护作用机理,定量分析了活性成分在黑枸杞果实中的含量,为未来的药物研发以及黑枸杞果实的开发提供了新思路。 

 研究结果发表在以下期刊,并获得一项专利授权。

 专利:黑果枸杞在治疗抗神经退行性疾病药物中的应用。专利号:ZL202210240673.9, 授权公告日:202311日。

 原文链接 

  黑枸杞果实中化合物结构

附件:
    主站蜘蛛池模板: 湛江市| 汉中市| 长海县| 肇源县| 河东区| 布拖县| 婺源县| 东海县| 如东县| 竹山县| 板桥市| 天津市| 新巴尔虎右旗| 红桥区| 新密市| 普格县| 宕昌县| 抚州市| 凤庆县| 乌拉特中旗| 绍兴县| 晋宁县| 大宁县| 昌乐县| 罗城| 静安区| 万源市| 博乐市| 沁源县| 金坛市| 沂水县| 兴宁市| 水城县| 宁陕县| 滦南县| 富阳市| 瑞昌市| 垦利县| 临湘市| 灵山县| 淮阳县|