土壤细菌和真菌是陆地生态系统中微生物群落的重要组成部分,具有较高的可塑性及适应性,在生态系统中发挥着重要作用。不同海拔下,高山灌丛生态系统土壤微生物群落的分布格局及其影响因素的研究不足,在很大程度上限制了对灌丛生态系统生态学过程的认知。
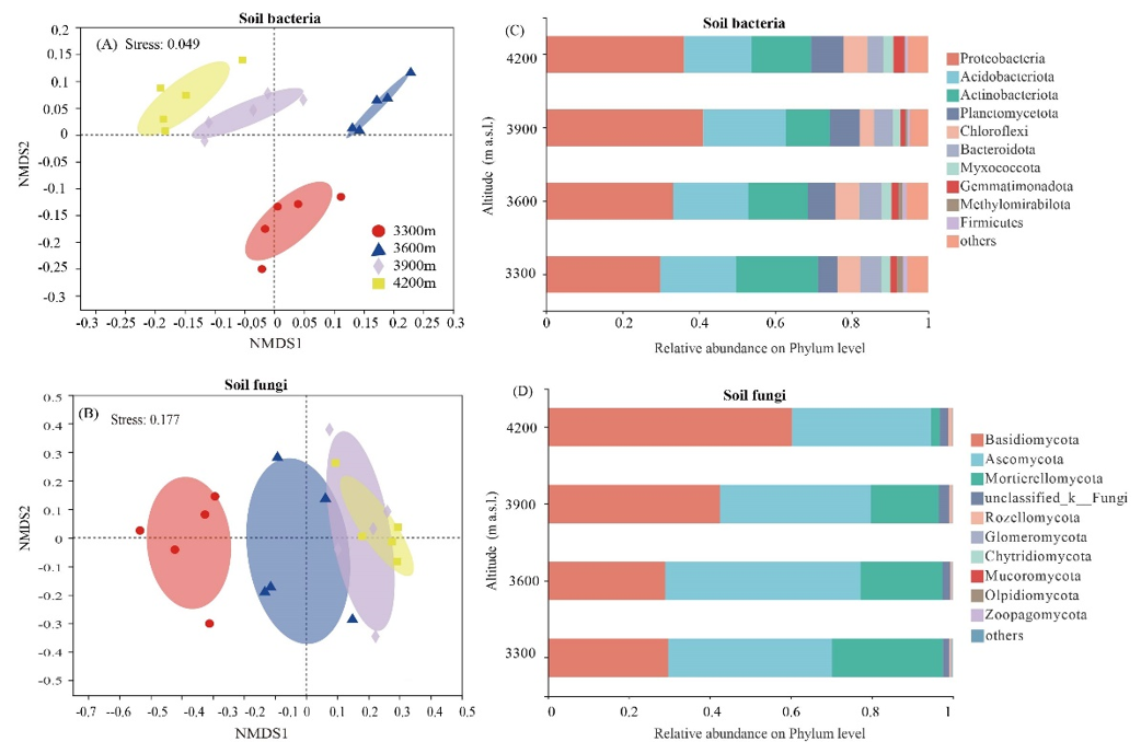
基于此,中国科学院成都生物研究所地表过程与生态系统管理项目组博士生谢路路和李琬婷在尹春英研究员的指导下,以折多山优势灌丛光亮杜鹃(Rhododendron nitidulum Rehd. et Wils)为研究对象,采集不同海拔(3300、2600、3900和4200米)的植物根系和土壤样品,利用高通量测序技术(Illumina MiSeq sequencing platform),阐明了不同海拔的根际土壤微生物群落变化格局及主要调控因素。研究表明:1)细菌群落丰富度和多样性随海拔增加呈先降低后增加的趋势,在3600米达到最小值;而海拔3300米处的真菌群落丰富度在显著低于其他海拔。2)不同微生物类群对环境的相应不同。在低海拔(3300和3600米),土壤养分有效性低,杜鹃具有更大的根系表面积,细菌类群中Planctomycetota占优势;而高海拔(3900和4200米)的土壤养分有效性高,杜鹃具有较低的根系表面积,真菌类群 中Mortierellomycota占优势。3)土壤含水量、pH 值、硝态氮和有效磷含量,和根系表面积和最大深度是解释根际土壤细菌和真菌群落变化的主要因素。本研究揭示了不同海拔杜鹃根际土壤微生物群落的分布格局及其驱动因子,加深了对高山灌丛生态系统的微生物学过程的理解。
上述研究结果以“Soil properties and root traits are important factors driving rhizosphere soil bacterial and fungal community variations in alpine Rhododendron nitidulumshrub ecosystems along an altitudinal gradient”为题发表在《Science of the Total Environment》 (IF=10.753)。谢路路和李琬婷为论文第一作者,尹春英研究员为论文通讯作者。该研究得到中国科学院战略性先导科技专项、国家自然科学基金、四川省应用基础研究和和中国科学院重点部署项目的联合资助。
原文链接

图1. 非度量多维尺度分析不同海拔下的根际土壤细菌和真菌群落

图2. 不同海拔光亮杜鹃根际土壤微生物群落变化及主要调控因素