成都生物所研究揭示珍稀濒危物种鳄蜥的体色多态性及其信息传递功能
作者:邱霞
时间:2022-09-26
动物体色多态性及其进化是当前进化生物学领域研究的热点问题之一(Endler et al., 2017;Stuart-Fox et al. 2020)。动物体色为何如此多变?导致体色多变的选择压力是什么?体色变化和个体身体状态、行为策略、社会地位等的相互关系是什么?体色多态性的维持机制是什么?这一系列问题正在让动物体色成为进化生物学多分支学科共同关注的焦点。
体色变异是体色多态性形成的前提(Tibbetts et al. 2017)。经典理论认为,动物体色变异主要源于自然选择和性选择,前者主要强调体色变异与个体生存的相互关系,即动物通过体色变异,可以提升自己的伪装效果,从而降低被天敌捕食的风险;后者主要强调体色变异与竞争配偶的相互关系,即动物通过体色变异能向竞争对手传递自己的身体状况和社会地位信息,从而在同性竞争和异性选择过程中占据优势。现代进化生物学理论认为:动物体色变异的形成可能是社会选择的结果,主要影响社会交流的过程,因为很多动物体色变异的形成与生存和竞争配偶似乎没有直接的联系,比如雌性个体在繁殖后期的体色变异。无论是经典理论,还是现代理论,绝大多数关于体色变异的研究都是基于雄性个体,关于雌性个体体色变异的研究才刚刚起步。
鳄蜥(Shinisaurus crocodilurus)是研究体色变异的良好模型,与其它蜥蜴相比,雄性和雌性鳄蜥喉部和腹部都表现出不同的颜色(图1)。何南等(2011)首次报道了鳄蜥的性二色型,成年雄性鳄蜥头胸腹面是浅蓝色或鲜红色,而雌性是浅黄色或淡红色。Van Schingen等(2016)也报道了鳄蜥喉部颜色的多态性,包括蓝色、红色和黄色。实际上,鳄蜥的体色变异可能比已有报道更丰富,喉部和腹部浅色或深色背景上有许多鲜艳的橙色或红色色斑。对蜥蜴类动物而言,喉部与腹侧色斑通常被用作社会交流的信号,能够反映个体的身体质量状态或行为策略信息(Tibbetts et al. 2017)。因此,研究雌性和雄性鳄蜥色斑变异在社会交流中的功能对理解体色多态性的进化,特别是雌性体色多态性的进化具有重要意义。此外,探明鳄蜥色斑多态性及其信息传递功能,也有助于指导该物种的圈养繁殖和野外放归。由于国际宠物贸易和栖息地退化的威胁,该物种已被列为国家一级?;ざ?,CITES附录I物种,并于2014年被列入IUCN红色名录濒危物种。解析该物种色斑多态性及其与个体质
量的相关关系,有助于建立一种高效快捷的个体评估方法,并促进人工繁育和野外放归群体设计。

图1(a)鳄蜥喉部和腹侧色斑展示;(b)雌性和雄性鳄蜥喉部色斑的光谱反射曲线;(c)雌性和雄性腹侧色斑的光谱反射曲线。
我们采用便携式光谱仪量化了鳄蜥喉部和腹部的体色变化,研究目的包括:(1)量化该物种的体色变异,判定不同部位的色斑是否能被划分为不同的色型;(2)采用视觉建模方法计算不同色斑在蜥蜴视觉系统感受下的明显程度,判断其能被同类识别的程度;(3)量化体色变异与个体质量(身体状况、咬合力等)和繁殖力(产仔数和窝仔质量等)之间的关系。本研究共涉及127只成年鳄蜥,所用个体均来自广西大桂山鳄蜥国家级自然?;でū蔽?/span>24°09′,东经111°81′)鳄蜥繁殖中心。
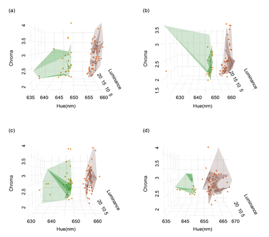
研究结果显示:雌性和雄性鳄蜥喉部和腹侧色斑都可以划为两种类型,即红色色斑和非红色斑(图2)。喉部色斑与腹部色斑无必然联系,喉部为红色的个体,腹部可能为非红色,此外色斑类型与性别无关,雄性和雌性个体可能拥有相似的色斑变异。有趣的是,相同个体的色斑类型随着年龄而发生变化,出生时为白色的个体,在成体阶段可能保持白色,或者变为红色,出生时为红色的个体,其色斑可能终身维持。

图2通过光谱参数对鳄蜥不同性别的喉部和腹侧色斑的聚类分析。(a)雌性喉部色斑类型;(b)雄性喉部色斑类型;(c)雌性腹侧色斑类型;(d)雄性腹侧色斑类型。
其次,参考蜥蜴视觉系统进行视觉建模,结果显示:喉部和腹部色斑的可区分度(JND)均大于蜥蜴可区分阈值1,说明两种类型的色斑均能被同类识别(图3a)。其次,蜥蜴对喉部两种色斑之间的区分度也大于其可区分阈值1JND(图3b和c),表明蜥蜴能识别不同的色斑类型。综上,鳄蜥的色斑在社会交流过程中发挥重要作用。

图3(a)鳄蜥喉部和腹侧色斑在蜥蜴视觉系统下的区分度(JND);(b)喉部和(c)腹部红色色斑与非红色斑类型之间的可区分度。“*”表示线性混合模型检测到显著性差异。
色斑类型与个体质量相关性分析显示:鳄蜥色斑能够传递个体质量信息(图4)。喉部呈红色的雌性咬合力大,而喉部呈红色的雄性年龄大。咬合力与年龄通常是个体身体质量的指标,咬合力大的蜥蜴在竞争配偶时获胜几率更高(Healey et al., 2007);年龄大的动物往往有更多的求偶和觅食经验,有利于提高生存和繁殖适合度。此外,腹部呈红色的雌性头部更大。头部大小往往代表咬肌的发达程度(Huyghe et al., 2008),使红色的蜥蜴在竞争配偶时获胜几率更高(Healey et al., 2007)。我们还发现了其他与色斑类型有关的形态学差异。喉部呈红色的雌性身体细长,且尾巴较长,而喉部无红色的雌性则较粗壮,尾巴较短,表明鳄蜥的色斑类型可能代表了某种行为对策,细长的体型对树栖的鳄蜥和通过游泳逃生的鳄蜥有着重要的意义。

图4喉部和腹侧色斑类型与个体质量之间的相关关系?!?/span>*”表示线性混合模型检测到的显著性差异。(a)SMI和(b)咬合力在雌性喉部色斑类型间的差异;(c)雄性年龄在喉部色斑类型间差异;(d)雌性头大小在腹侧色斑类型间的差异。
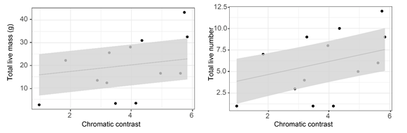
色斑类型与个体繁殖能力相关性分析显示:喉部和腹部色斑与雌性的繁殖力无关。但是腹侧色斑明显的雄性个体后代更大,且存活率更高(图5)。这提示,在未来规划鳄蜥的人工繁育和放归计划时,应该充分考虑不同体色个体的组成,腹部红色的雄性个体可能作为放归个体的主要成分。

图5雄性腹侧色斑颜色明显程度与存活子代质量和数量的相关关系。
研究结果以“Colour Variation in the Crocodile Lizard (Shinisaurus crocodilurus) and Its Relationship to Individual Quality”为题发表于国际科学期刊《Biology》。中国科学院成都生物研究所动物行为与仿生项目组邱霞博士为该论文第一作者,齐银副研究员为通讯作者;澳大利亚麦考瑞大学Martin J. Whiting教授、加拿大圭尔夫大学傅金钟教授、中国科学院动物研究所杜卫国研究员、广西师范大学武正军教授和广西大桂山鳄蜥自然保护区罗树毅参与了该项目。本研究得到国家自然科学基金(31872233,31821001)、四川省杰出青年项目(2020JDJQ0001)和西藏自治区科学与技术计划(XZ202201ZY0030G)的资助。
参考文献:
何南, 武正军, 蔡凤金, 等, 2011. 鳄蜥的两性异形[J]. 生态学杂志, 30(01): 7.
ENDLER J A, MAPPES J, 2017. The current and future state of animal coloration research[J/OL]. Philosophical Transactions of the Royal Society of London B Biological Sciences, 372(1724). DOI:10.1098/rstb.2016.0352.
HEALEY M, ULLER T, OLSSON M, 2007. Seeing red: morph-specific contest success and survival rates in a colour-polymorphic agamid lizard[J/OL]. Animal Behaviour, 74(2): 337-341. DOI:10.1016/j.anbehav.2006.09.017.
HUYGHE K, HERREL A, ADRIAENS D, et al., 2008. It is all in the head: morphological basis for differences in bite force among colour morphs of the Dalmatian wall lizard[J/OL]. Biological Journal of the Linnean Society, 96(1): 13-22. DOI:10.1111/j.1095-8312.2008.01103.x.
STUART-FOX D, AULSEBROOK A, RANKIN K J, et al., 2020. Convergence and divergence in lizard colour polymorphisms[J]. Biological Reviews: 21.
TIBBETTS E A, MULLEN S P, DALE J, 2017. Signal function drives phenotypic and genetic diversity: the effects of signalling individual identity, quality or behavioural strategy[J/OL]. Philosophical Transactions of the Royal Society B: Biological Sciences, 372(1724): 20160347. DOI:10.1098/rstb.2016.0347.