一品楼黑龙江论坛,全国小红楼论坛网,一品楼信息,凤凰楼品凤楼论坛qm

成都生物所在不同类型森林土壤真菌群落的季节性变化研究中取得进展
作者:谢路路 时间:2022-07-27

 土壤真菌是森林生态系统中微生物群落的重要组成部分,在生态系统中发挥着重要作用。研究发现土壤真菌群落多样性及其组成会随着外界环境变化而改变,但不同类型树种和季节如何影响真菌群落的具体过程尚不清楚,在很大程度上限制了对森林生态系统中生物多样性维持过程的认知。 

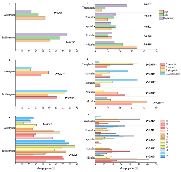
 基于此,中国科学院成都生物研究所地表过程与生态系统管理项目组博士生谢路路在尹春英研究员的指导下,以西南亚高山优势针叶树种——粗枝云杉(Picea asperata)和落叶松(Larix gmelinii)以及主要阔叶树种——红桦(Betula albosinensis)和川滇高山栎(Quercus aquifolioides)为研究对象,分别在生长季的前期、中期和末期采集土壤和根系样品,利用高通量测序技术(Illumina MiSeq sequencing platform),阐明了树种和季节对土壤真菌群落的影响机理及主要调控因素。研究表明:1)阔叶林的土壤真菌多样性和丰富度显著高于针叶林;真菌多样性、根系和土壤特性在生长季中期的变化比其它时期更为复杂。2)树种改变了土壤真菌群落组成和特定目的相对丰度,Helotiales Atheliales 是针叶林的优势目, Agaricales, Russulales Thelephorales是阔叶林的优势目。3)根系性状和土壤性质,特别是土壤水分、pH、有机碳、铵态氮以及细根生物量和根组织密度,是驱动土壤真菌群落变化的主要因素。本研究揭示了土壤真菌对亚高山森林类型及季节性变化的响应过程及其驱动因子,对研究亚高山森林生态系统植物-土壤-微生物的相互作用具有重要意义。 

 上述研究结果以“Seasonal variations of soil fungal diversity and communities in subalpine coniferous and broadleaved forests”为题发表在《Science of The Total Environment》。成都生物研究所博士谢路路为论文第一作者,尹春英研究员为论文通讯作者。该研究得到国家自然科学基金(No. 32071500)、四川省应用基础研究(No. 2020YJ0201)和中国科学院战略性先导科技专项(No. XDA26010102)项目的联合资助。 

 原文链接   

  1. NMDS非度量多维尺度分析不同季节和树种下的土壤真菌群落 

  2. 土壤真菌群落优势门和目在不同季节和树种下丰度比例的差异 

  3. 结构方程模型SEM分析树种和季节对土壤真菌多样性的影响(a, 偏最小二乘路径模型得出的标准化直接和间接影响(b 

附件:
    主站蜘蛛池模板: 丘北县| 兴仁县| 郁南县| 东至县| 崇阳县| 罗江县| 邵阳县| 会泽县| 绵阳市| 连城县| 兰坪| 墨脱县| 南通市| 上饶县| 洪泽县| 尚义县| 锦州市| 乐平市| 都匀市| 新河县| 乐至县| 兴义市| 贡觉县| 平潭县| 罗定市| 大姚县| 和顺县| 广德县| 常熟市| 镇雄县| 泽州县| 嘉荫县| 奉新县| 惠水县| 资源县| 恩平市| 措勤县| 凌海市| 峨眉山市| 桐庐县| 巴马|