成都生物所研究揭示青海沙蜥尾部动作信号的生物学含义
作者:齐银
时间:2021-08-13
动作信号是动物通讯的重要方式之一,它主要通过特殊的肢体动作完成社会交流。比如雄性狼蛛(Schizocosa. ocreata)通过身体晃动和抬腿动作求偶;雄性招潮蟹(Uca elegants)通过螯肢挥舞求偶。相比于经典的颜色和声音信号,关于动作信号的功能和进化研究才刚刚起步。目前,关于动物动作信号的研究多围绕信号结构的描述和信号对环境噪音的适应等方面,对动作信号的生物学含义解析还处于起步阶段,这极大地限制了对动作信号的功能和进化的研究。
青海沙蜥(Phrynocephalus vlangalii)是研究动作信号生物学含义的良好模型。该物种广泛分布于青藏高原东缘(图1),生境单一,动作信号是个体之间社会交流的唯一方式。雄性的动作信号由卷尾和甩尾组成,而雌性的动作信号则主要表现为卷尾(图2)。无论是雄性还是雌性,都会根据对手的性别和年龄调节自身的动作信号速度,同时雌性也会通过卷尾速度的调节守卫自己的配偶,那么,动作信号到底反映了什么信息?以至于个体之间能够通过动作信号相互判读各自的实力?
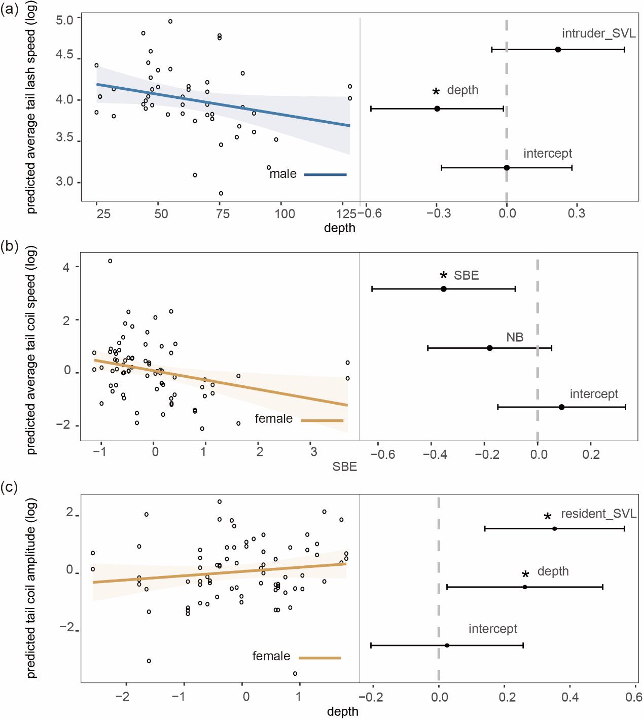
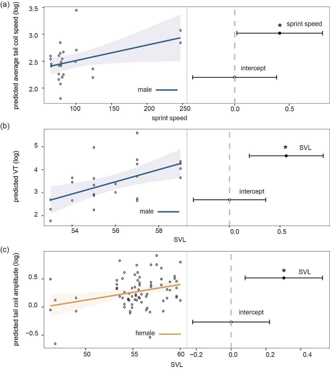
中国科学院成都生物研究所动物行为与仿生项目组博士研究生邱霞在傅金钟研究员和齐银副研究员的联合指导下,通过野外控制实验和3D信号量化方法,从身体状况和洞穴质量两个方面解析了青海沙蜥尾部动作的生物学含义。结果表明:1. 雄性的卷尾速度和甩尾幅度能够反映个体的跑动速度和身体大小信息,卷尾速度越快,甩尾幅度越大的个体跑动速度越快,且个体越大;对雌性而言,卷尾幅度能够反映个体大小,卷尾幅度越大的个体体型越大(图3);2. 雄性的甩尾速度能够反映个体的洞穴质量,甩尾速度越快的个体拥有较浅的洞穴,这一方面可以满足躲避天敌需要,同时更有利于体温调节;对雌性而言,卷尾速度和幅度能够反映个体的洞口大小,卷尾越快,幅度越大的雌性洞穴洞口越小(图4)。总之,我们的研究揭示,青海沙蜥能通过尾部动作速度和幅度反映个体的身体状况和洞穴质量,这些信息有助于缓解个体之间的社会冲突和配偶评估,也为后期对沙蜥动作信号的功能和遗传进化解析奠定基础。
上述研究以“Unraveling the content of tail displays in an Asian agamid lizard”为题,发表于动物行为学著名国际期刊Behavioral Ecology and sociobiology,齐银副研究员为该论文通讯作者,邱霞为该论文第一作者,该研究得到国家自然科学基金面上项目资助(31872233、31572273)。

图1. 青海沙蜥照片,照片由姚忠祎提供

图2. 青海沙蜥尾部动作信号展示(a)卷尾,(b)甩尾,(c)3D方法量化后尾部动作在空间中移动的距离

图3. 青海沙蜥尾部动作信号与个体状况的相关关系

图4. 青海沙蜥尾部动作信号与洞穴质量的相关关系