成都生物所在大麦株型遗传基础解析方面取得进展
时间:2021-05-07
茎杆是水稻、小麦、大麦等粮食作物的重要器官,由多个茎节以及相连的节间组成。各节间的伸长决定作物的株高,进而影响作物倒伏、穗伸出等重要性状。20世纪60年代水稻、小麦“绿色革命”成功的关键就是在育种中引入半矮杆基因,降低株高,显著改善作物的倒伏情况。最上节间(uppermost internode,UI),即穗下节,不仅对株高有很大贡献,同时还承担着支撑花序,决定穗从叶鞘中的伸出(即抽穗)程度、光合同化物向穗部的运输等重要功能,对作物的产量具有重要影响。因此,解析调控作物最上节间伸长的遗传及分子基础,对合理调节株高、优化冠层结构,实现作物理想株型具有理论及实践意义。但目前,对大麦、小麦等麦类作物中控制最上节间伸长的基因位点和分子机制知之甚少。
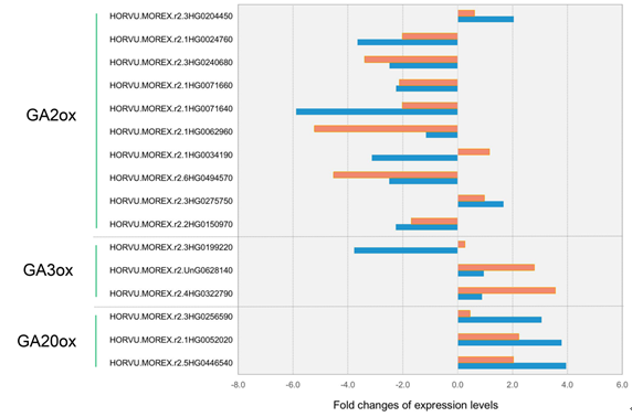
成都生物研究所作物分子育种项目组龙海研究团队在大麦资源圃中鉴定到一份最上节间显著缩短的自然突变体CDB0012,并将其命名为SS1 (Sheathed Spike 1)。通过细胞切片观察发现,SS1最上节间细胞长度显著小于穗伸出正常的青稞品种喜马拉雅19(XL19)。外施赤霉素能显著促进SS1中UI伸长,而生长素和细胞分裂素无法产生类似作用,推测SS1节间伸长受抑制可能与内源活性赤霉素不足有关。对赤霉素合成途径中的关键基因GA20ox、GA3ox以及GA2ox的表达分析结果也支持这种推测。
遗传分析显示,SS1主要受一个具有质量效应的主效基因控制,将其命名为HvSS1。通过BSA-seq、分子标记等技术将HvSS1定位在6H染色体173Mb-396Mb之间一段重组冷区内,难以使用图位克隆法进一步缩小定位区间。通过将SS1重测序数据与其他已公布的大麦重测序数据进行比较,结合大麦不同组织器官的转录组数据对候选区间内的基因进行筛选,最终找到5个可能的候选基因,这些基因非赤霉素合成相关基因,与水稻中已报道的UI伸长调控基因也没有同源性,可能是一个全新的UI伸长调控基因。本研究为进一步找到控制SS1的关键基因,解析调控大麦UI伸长的分子机制奠定基础,也将为小麦中的相关研究提供参考。
研究结果以“Identification and candidate gene mining of HvSS1, a novel qualitative locus on chromosome 6H, regulating the uppermost internode elongation in barley (Hordeum vulgare L.)”为题,在农林科学top期刊Theoretical and Applied Genetics(DOI: 10.1007/s00122-021-03837-8)上在线发表。中国科学院成都生物研究所硕士研究生蒲茜为第一作者,已毕业的硕士研究生汤燕燕为共同第一作者,龙海副研究员为通讯作者。该研究得到四川省农作物分子育种平台项目(2016NZ0103)、中国科学院科技服务网路计划(STS计划)(KFJ-STS-QYZD-2021-22-001)、西藏自治区重大科技专项(XZ2021NA01)、四川省麦类作物创新团队等项目资助。

图一 SS1的表型鉴定

图二 SS1对外源激素的响应

图三 UI组织中赤霉素合成的关键因子表达水平

图四 3个F2群体中的穗伸出频率分布

图五 HvSS1的定位

图六 候选基因的表达模式