一品楼黑龙江论坛,全国小红楼论坛网,一品楼信息,凤凰楼品凤楼论坛qm

成都生物所在解析西南地区特有和受威胁针叶树种丰富度关键驱动因素中获新进展
作者:廖梓延 时间:2021-02-26

 从生态学和地理学上看,生态区是一个“由有别于其他地区的土壤和地貌相结合、有循环模式的生态系统”。世界自然基金会将生态区分为陆地、淡水、海洋等3大类型。其中,陆地及淡水部分可依地理分布、演化历史因素及生物类群的相似性再分为8个生态界,共包含867个陆地生态区及426个淡水生态区。针叶林是以针叶树为建群树种所组成的各类森林的总称,包括常绿和落叶,耐寒耐旱和喜温、喜湿等类型的针叶纯林和混交林,分布于热带、亚热带、温带和寒带地区,有超过50%的温带针叶林分布于亚洲,尤其分布于中国,并以西南山地为其分布和分化中心。我国针叶林分布范围覆盖多个生态区(Ecoregions, WWF 2018),据估计,由于受到人为采伐和气候变化的影响,其中六个位于我国西南的针叶林生态区结构和功能正受到严重威胁,这六个针叶林生态区包括横断山山地针叶林、横断山山地亚高山针叶林、东北喜马拉雅亚高山针叶林、怒江-澜沧江峡谷高山针叶和落叶林、祁连山针叶林、邛崃-岷山针叶林。为确定物种保护的优先级,世界自然基金会提出了五个"E"标准,即从濒危性(Endangerment)、特有性(Endemism)、经济性(Economic)、生态性(Ecological)和标志性(Emblematic)五个方面综合评估物种。西南山地的绝大部分针叶树种同时具备上述多个保护优先标准,并在涵养水源、保持水土、维持生物多样性,特别是保护珍稀动植物旗舰物种大熊猫等方面具有重要的生态意义,涉及以“三区四带”为核心的全国重要生态系统保护和修复重大工程总体布局中的青藏高原生态屏障区、黄河重点生态区(含黄土高原生态屏障)、长江重点生态区(含川滇生态屏障)、南方丘陵山地带、海岸带等“三区两带”的全部或部分区域。 

 了解物种丰富度与环境之间的关系是生态学的一个关键科学问题。先前的研究试图通过环境能量、气候季节性和生境异质性等假说来解释环境驱动因素相互作用对植物物种丰富度的影响,但是少有在这些环境假说的基础上纳入定量的土壤变量(土壤肥力假说)以阐明植物丰富度的综合驱动力来源的报道。本研究将土壤肥力和人为影响纳入物种丰富度评估模型,以检验土壤肥力假说对我国西南地区针叶树种丰富度空间格局的影响。 

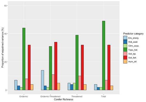
 中国科学院成都生物研究所生态过程与生物多样性课题组博士研究生Mohammed A. Dakhil在导师潘开文研究员的指导下,采用广义线性模型结合逐步回归选择最佳预测因子,使用层次划分评价了环境能量、水分可利用性、气候季节性、地形异质性、土壤质地类型、土壤肥力及人为影响因素对上述6个生态区内4个针叶树种分类单元(所有种、特有种、受威胁种及特有且受威胁种)丰富度格局的影响。结果表明,四川中部及北部、云南北部和横断山脉南部地区是我国西南针叶树种丰富度中心。地形异质性和土壤肥力是4个针叶树种分类单元物种丰富度的最重要驱动因素,而气候季节性、环境能量、水分可利用性和人为影响因素的贡献率较低。此外,针叶树种高丰富度区域,目前大多位于国家级自然保护区之外,亟需优化调整现有保护区范围,以加强针叶树丰富度中心的保护,为西南山地国土空间生态修复在修复空间识别、修复措施选择等方面提供了依据。本研究表明了土壤肥力在物种丰富度动态和保护规划中的意义,并强调将土壤数据纳入生物多样性空间评估,可为生物多样性和景观多样性的保护提供更全面的见解。 

 该研究获得国家重点研发计划(2016YFC0502101)、第二次青藏高原综合科学考察研究(2019QZKK0303)及国家留学基金委(2017GXZ010412)的资助。研究成果以Richness patterns of endemic and threatened conifers in south-west China: Topographic-soil fertility explanation为题发表在Environmental Research Letters (2021) 

 原文链接  

   

  1 云南松林(伍小刚摄于云南丽江) 

   

  2 云冷杉林(伍小刚摄于四川九寨沟) 

   

  3 铁杉林(伍小刚摄于四川天全喇叭河) 

    

   

  4 空间建模分析流程 

   

  5  50 × 50 km2网格划分的西南地区针叶树物种丰富度空间格局 

   

  6  七类预测因子方差解释比例(% 

附件:
    主站蜘蛛池模板: 会泽县| 新民市| 汉川市| 黔江区| 如东县| 交城县| 天水市| 资中县| 宁陕县| 信丰县| 邢台市| 大足县| 瓦房店市| 平泉县| 乐至县| 砀山县| 错那县| 余干县| 安多县| 北川| 滕州市| 鄂尔多斯市| 上饶市| 波密县| 多伦县| 资兴市| 曲麻莱县| 磐石市| 垫江县| 沅陵县| 雅安市| 屏东县| 新宾| 卓资县| 连云港市| 江川县| 金川县| 沈丘县| 汕头市| 泌阳县| 闵行区|